Volume 39 Issue 4
Dec.  2025
Turn off MathJax
Article Contents
ZHANG Bingli, ZUO Yunjie, WANG Yixin, HUANG Zhonghan, LI Ren, CAO Lisong. Control strategy for AEB in target traversing based on PreScan[J]. Journal of Shanghai University of Engineering Science, 2025, 39(4): 389-395. doi: 10.12299/jsues.25-0136
Citation: ZHANG Bingli, ZUO Yunjie, WANG Yixin, HUANG Zhonghan, LI Ren, CAO Lisong. Control strategy for AEB in target traversing based on PreScan[J]. Journal of Shanghai University of Engineering Science, 2025, 39(4): 389-395. doi: 10.12299/jsues.25-0136

Control strategy for AEB in target traversing based on PreScan

doi: 10.12299/jsues.25-0136
  • Received Date: 2025-05-27
    Available Online: 2026-02-02
  • Publish Date: 2025-12-01
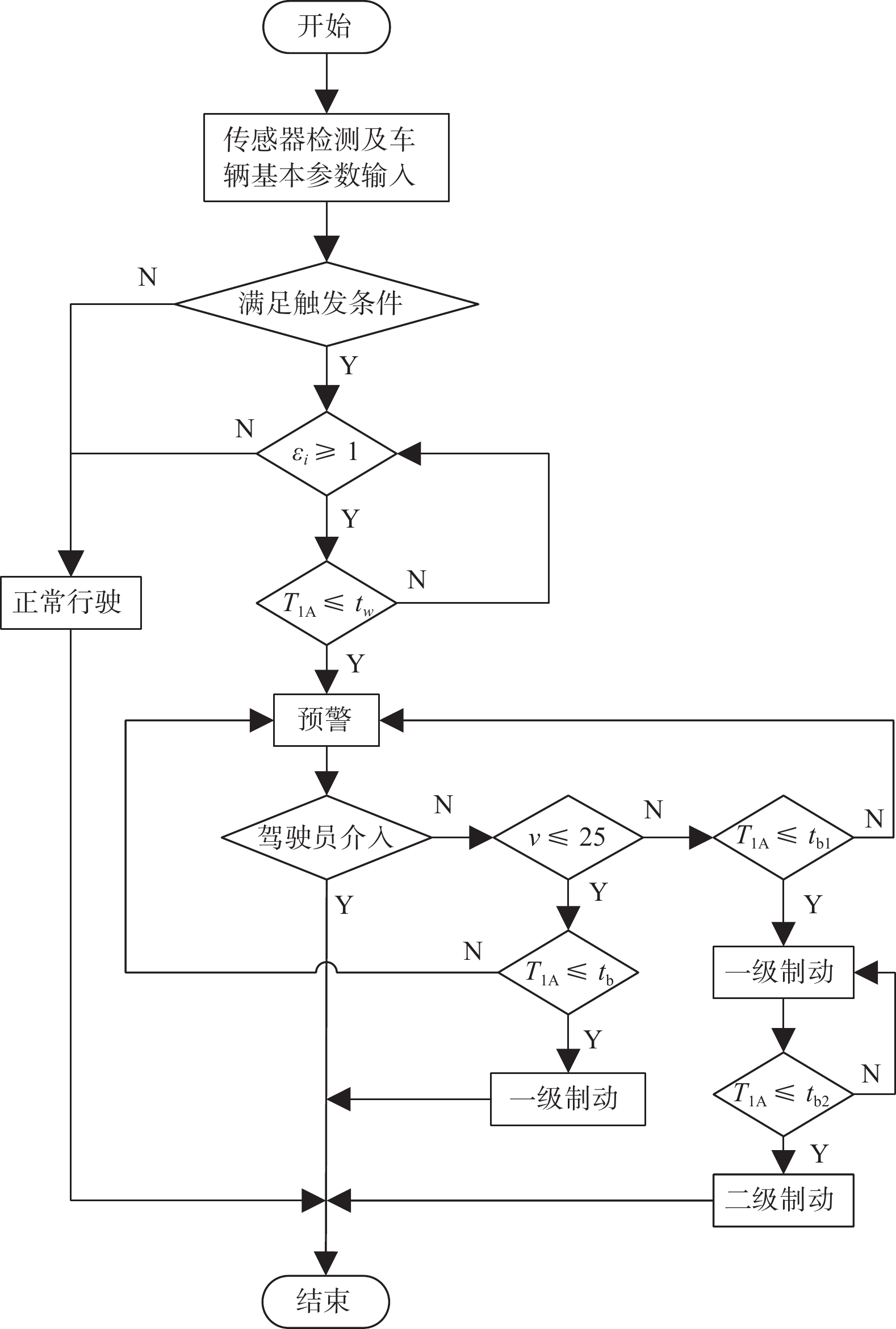
  • Aiming at the motion relationship between the vehicle and the passing target in the straight ahead process, an autonomous emergency braking (AEB) control strategy was proposed. The motion of the target relative to the vehicle was decomposed into lateral and longitudinal components, and the risk coefficient was defined based on the time to collision (TTC) algorithm to establish the early warning judgment conditions, and the dynamic trigger width and dynamic TTC threshold were designed. When the system given an early warning and the driver was not involved, the split speed and graded braking strategy was adopted. The lower controller was constructed based on the variable universe fuzzy PI algorithm to accurately follow the expected acceleration of the vehicle. At the same time, PreScan was used to establish the vehicle reverse longitudinal dynamics model, which was translated into actual operation. Though PreScan and Matlab, the strategy was simulated and verified. The results show that the strategy can effectively avoid collision in the test scenario based on C-NCAP.
  • loading
  • [1]
    何仁, 冯海鹏. 自动紧急制动(AEB)技术的研究与进展[J] . 汽车安全与节能学报, 2019, 10(1): 1 − 15. doi: 10.3969/j.issn.1674-8484.2019.01.001
    [2]
    吴子祥, 黄合来, 陈吉光, 等. 视线遮挡条件下面向弱势道路使用者的避撞策略研究[J] . 交通信息与安全, 2021, 39(4): 9 − 15, 34. doi: 10.3963/j.jssn.1674-4861.2021.04.002
    [3]
    李晓阳, 刘树伟. 考虑驾驶员特性的行人避撞策略及仿真验证[J] . 专用汽车, 2022(8): 74 − 78, 82.
    [4]
    胡延平, 王晓静, 徐鹏, 等. 基于PreScan的交叉轨迹工况AEB控制[J] . 机械工程与自动化, 2019(5): 29 − 31.
    [5]
    中国汽车技术研究中心有限公司. 中国新车评价规程(C-NCAP) 2020年度测评结果研究报告[EB/OL] . (2021-03-25)[2024-08-30] . https://www.c-ncap.org.cn/download.
    [6]
    胡远志, 吕章洁, 刘西. 基于PreScan的AEB系统纵向避撞算法及仿真验证[J] . 汽车安全与节能学报, 2017, 8(2): 136 − 142. doi: 10.3969/j.issn.1674-8484.2017.02.004
    [7]
    韩勇, 袁小宾, 卢明, 等. 汽车与电动两轮车碰撞典型场景下的AEB纵横向触发策略研究[J] . 汽车工程, 2023, 45(3): 501 − 509.
    [8]
    何霞, 张道文, 车瑶栎, 等. 基于行人横穿场景的AEB触发宽度优化研究[J] . 中国安全科学学报, 2020, 30(4): 141 − 146.
    [9]
    徐向阳, 胡文浩, 张友, 等. 车辆与二轮车预碰撞场景分析及其AEB优化[J] . 北京航空航天大学学报, 2023, 49(1): 1 − 9.
    [10]
    尤本隆. 基于Prescan自动紧急制动系统分级控制策略研究[J] . 农业装备与车辆工程, 2022, 60(1): 54 − 59.
    [11]
    王陆林, 刘贵如. 汽车制动距离估算模型和安全车距控制算法[J] . 农业装备与车辆工程, 2019, 57(12): 23 − 28.
    [12]
    杜峰, 程剑锋, 齐蕾, 等. 基于驾驶行为特性的AEB系统控制策略研究[J] . 河南科技大学学报(自然科学版), 2023, 44(6): 16 − 25.
    [13]
    杨贺博, 张小俊, 罗耿耿, 等. 基于动态碰撞时间的自动紧急制动策略设计[J] . 汽车技术, 2024(2): 17 − 24.
    [14]
    ZHANG Y Z, ANTONSSON E K, GROTE K. A new threat assessment measure for collision avoidance systems[C] //Proceedings of 2006 IEEE Intelligent Transportation Systems Conference. Toronto: IEEE, 2006: 968 − 975.
    [15]
    王晶晶, 郭文博, 张友松, 等. 基于车联网的行人主动避撞策略及仿真验证[J] . 汽车技术, 2022(5): 41 − 49.
  • 加载中

Catalog

    通讯作者: 陈斌, bchen63@163.com
    • 1. 

      沈阳化工大学材料科学与工程学院 沈阳 110142

    1. 本站搜索
    2. 百度学术搜索
    3. 万方数据库搜索
    4. CNKI搜索

    Figures(5)  / Tables(6)

    Article Metrics

    Article views (264) PDF downloads(82) Cited by()
    Proportional views
    Related

    /

    DownLoad:  Full-Size Img  PowerPoint
    Return
    Return