留言板

尊敬的读者、作者、审稿人, 关于本刊的投稿、审稿、编辑和出版的任何问题, 您可以本页添加留言。我们将尽快给您答复。谢谢您的支持!

姓名
邮箱
手机号码
标题
留言内容
验证码

巴多索隆及其衍生物的合成和药理作用研究进展

邹宇 庄春林 赵琳静

邹宇, 庄春林, 赵琳静. 巴多索隆及其衍生物的合成和药理作用研究进展[J]. 上海工程技术大学学报, 2025, 39(3): 326-332. doi: 10.12299/jsues.24-0199
引用本文: 邹宇, 庄春林, 赵琳静. 巴多索隆及其衍生物的合成和药理作用研究进展[J]. 上海工程技术大学学报, 2025, 39(3): 326-332. doi: 10.12299/jsues.24-0199
ZOU Yu, ZHUANG Chunlin, ZHAO Linjing. Advances in synthesis and pharmacological effects of Bardoxolone and its derivatives[J]. Journal of Shanghai University of Engineering Science, 2025, 39(3): 326-332. doi: 10.12299/jsues.24-0199
Citation: ZOU Yu, ZHUANG Chunlin, ZHAO Linjing. Advances in synthesis and pharmacological effects of Bardoxolone and its derivatives[J]. Journal of Shanghai University of Engineering Science, 2025, 39(3): 326-332. doi: 10.12299/jsues.24-0199

巴多索隆及其衍生物的合成和药理作用研究进展

doi: 10.12299/jsues.24-0199
详细信息
    作者简介:

    邹宇:邹 宇(1997 − ),男,硕士生,研究方向为程序性坏死抑制剂。E-mail:m18741423729@163.com

    通讯作者:

    赵琳静(1979 − ),女,副教授,博士,研究方向为天然产物的系统药理学。E-mail:ljzhao@sues.edu.cn

  • 中图分类号: R282.71

Advances in synthesis and pharmacological effects of Bardoxolone and its derivatives

  • 摘要: 巴多索隆(Bardoxolone),化学名为2−氰基−3,12−二氧代齐墩果烷−1,9(11)−二烯−28−羧酸(CDDO),是以天然产物齐墩果酸为原料,经过一系列化学结构改造合成的五环三萜类化合物。CDDO及其衍生物的药理作用广泛,在临床研究中展现了巨大潜力。综述近年来CDDO及其衍生物的合成方法以及其在抗肿瘤、抗炎、神经系统和肾脏保护作用、抗病毒等方面的药理作用和可能的作用机制,为其进一步开发和应用提供参考。
  • 图  1  从OLA到CDDO的结构改造过程

    Figure  1.  Structural transformation process from OLA to CDDO

    图  2  CDDO合成方法

    Figure  2.  Synthetic method of CDDO

    a—CH2N2;b—Ac2O, pyridine;c—Η2O2, AcOH;d—Βr2, HBr, AcOH;e—KOH, MeOH;f—Jones reagent;g—NaOMe, HCO2Et, PhH;h—NH2OH·HCl, EtOH;i—NaOMe, Et2O, MeOH;j—DDQ, PhH;k—LiI。

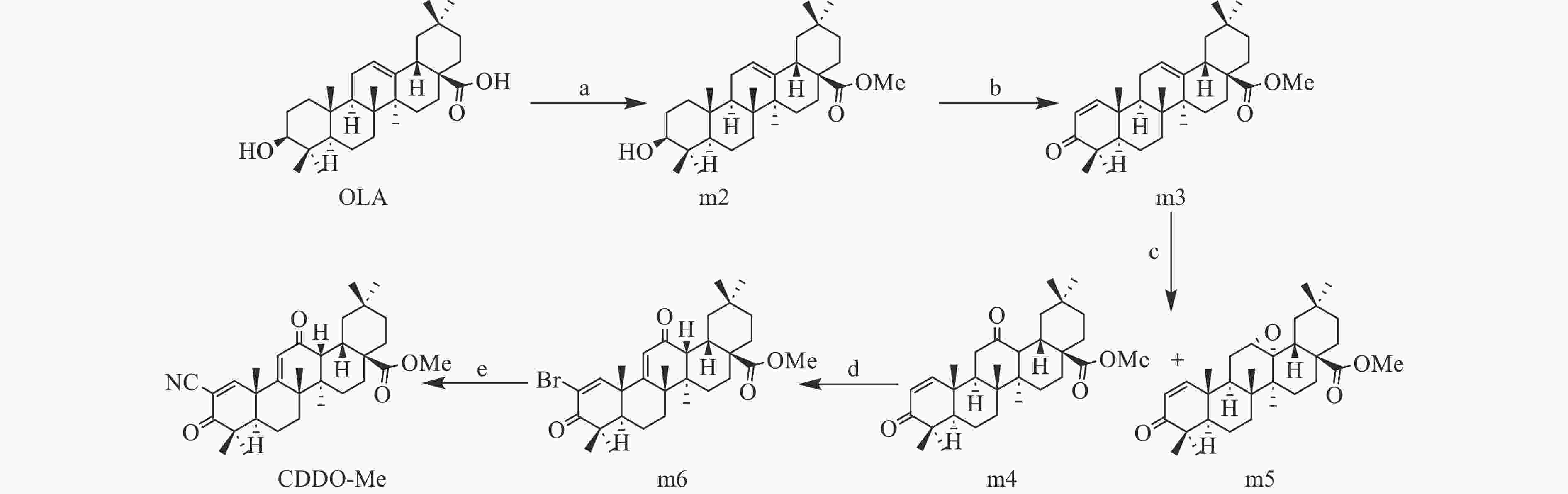
    图  3  CDDO-Me 合成方法

    Figure  3.  Synthetic method of CDDO-Me

    a—K2CO3, MeI, DMF, r.t;b—IBX, DMSO, PhF, 85℃;c—mCPBA, CH2Cl2, r.t.;d—HBr, Br2, CH3COOH, 35℃;e—CuCN, KI, DMF。

    图  4  CDDO衍生物的结构

    Figure  4.  Chemical structures of CDDO derivatives

  • [1] PHILLIPS D R, RASBERY J M, BARTEL B, et al. Biosynthetic diversity in plant triterpene cyclization[J] . Current Opinion in Plant Biology, 2006, 9(3): 305 − 314. doi: 10.1016/j.pbi.2006.03.004
    [2] BORELLA R, FORTI L, GIBELLINI L, et al. Synthesis and anticancer activity of CDDO and CDDO-Me, two derivatives of natural triterpenoids[J] . Molecules, 2019, 24(22): 4097. doi: 10.3390/molecules24224097
    [3] SUH N, WANG Y, HONDA T, et al. A novel synthetic oleanane triterpenoid, 2−cyano−3, 12−dioxoolean−1, 9−dien−28−oic acid, with potent differentiating, antiproliferative, and anti−inflammatory activity[J] . Cancer Research, 1999, 59(2): 336 − 341.
    [4] COUCH R D, BROWNING R G, HONDA T, et al. Studies on the reactivity of CDDO, a promising new chemopreventive and chemotherapeutic agent: implications for a molecular mechanism of action[J] . Bioorganic & Medicinal Chemistry Letters, 2005, 15(9): 2215 − 2219.
    [5] HONDA T, ROUNDS B V, GRIBBLE G W, et al. Design and synthesis of 2−cyano−3, 12−dioxoolean−1, 9−dien−28−oic acid, a novel and highly active inhibitor of nitric oxide production in mouse macrophages[J] . Bioorganic & Medicinal Chemistry Letters, 1998, 8(19): 2711 − 2714.
    [6] FU L F, GRIBBLE G W. Efficient and scalable synthesis of bardoxolone methyl (CDDO-methyl ester)[J] . Organic Letters, 2013, 15(7): 1622 − 1625. doi: 10.1021/ol400399x
    [7] SPORN M B, LIBY K T, YORE M M, et al. New synthetic triterpenoids: potent agents for prevention and treatment of tissue injury caused by inflammatory and oxidative stress[J] . Journal of Natural Products, 2011, 74(3): 537 − 545. doi: 10.1021/np100826q
    [8] SHANMUGAM M K, DAI X Y, KUMAR A P, et al. Oleanolic acid and its synthetic derivatives for the prevention and therapy of cancer: preclinical and clinical evidence[J] . Cancer Letters, 2014, 346(2): 206 − 216. doi: 10.1016/j.canlet.2014.01.016
    [9] JOHNSON D E, O'KEEFE R A, GRANDIS J R. Targeting the IL-6/JAK/STAT3 signalling axis in cancer[J] . Nature Reviews Clinical Oncology, 2018, 15(4): 234 − 248. doi: 10.1038/nrclinonc.2018.8
    [10] GEE M S, KANG S B, KIM N, et al. Bardoxolone methyl suppresses hepatitis B virus large surface protein variant W4P-related carcinogenesis and hepatocellular carcinoma cell proliferation via the inhibition of signal transducer and activator of transcription 3 signaling[J] . Pharmacology, 2018, 102(1/2): 105 − 113.
    [11] TORRES G M, YANG H, PARK C, et al. T cells and CDDO-Me attenuate immunosuppressive activation of human melanoma-conditioned macrophages[J] . Frontiers in Immunology, 2022, 13: 768753. doi: 10.3389/fimmu.2022.768753
    [12] HAYASHI M, KUGA A, SUZUKI M, et al. Microenvironmental activation of Nrf2 restricts the progression of Nrf2-activated malignant tumors[J] . Cancer Research, 2020, 80(16): 3331 − 3344. doi: 10.1158/0008-5472.CAN-19-2888
    [13] YUNNA C, MENGRU H, LEI W, et al. Macrophage M1/M2 polarization[J] . European Journal of Pharmacology, 2020, 877: 173090. doi: 10.1016/j.ejphar.2020.173090
    [14] XU F, WEI Y, TANG Z, et al. Tumor-associated macrophages in lung cancer: friend or foe? (Review)[J] . Molecular Medicine Reports, 2020, 22(5): 4107 − 4115.
    [15] MOERLAND J A, LEAL A S, LOCKWOOD B, et al. The triterpenoid CDDO-methyl ester redirects macrophage polarization and reduces lung tumor burden in a Nrf2-dependent manner[J] . Antioxidants, 2023, 12(1): 116. doi: 10.3390/antiox12010116
    [16] YU L, WEI J, LIU P D. Attacking the PI3K/AKT/mTOR signaling pathway for targeted therapeutic treatment in human cancer[J] . Seminars in Cancer Biology, 2022, 85: 69 − 94. doi: 10.1016/j.semcancer.2021.06.019
    [17] GAO X H, DEEB D, LIU Y B, et al. CDDO-Me inhibits tumor growth and prevents recurrence of pancreatic ductal adenocarcinoma[J] . International Journal of Oncology, 2015, 47(6): 2100 − 2106. doi: 10.3892/ijo.2015.3212
    [18] ZHANG Y, WANG X. Targeting the Wnt/β-catenin signaling pathway in cancer[J] . Journal of Hematology & Oncology, 2020, 13(1): 165.
    [19] ZHOU L, WANG Z Y, YU S B, et al. CDDO-Me elicits anti-breast cancer activity by targeting LRP6 and FZD7 receptor complex[J] . The Journal of Pharmacology and Experimental Therapeutics, 2020, 373(1): 149 − 159. doi: 10.1124/jpet.119.263434
    [20] SHISHODIA S, SETHI G, KONOPLEVA M, et al. A synthetic triterpenoid, CDDO-Me, inhibits IκBαkinase and enhances apoptosis induced by TNF and chemotherapeutic agents through down-regulation of expression of nuclear factor κB-regulated gene products in human leukemic cells[J] . Clinical Cancer Research, 2006, 12(6): 1828 − 1838. doi: 10.1158/1078-0432.CCR-05-2044
    [21] ANSELMI A, ABBATE A, GIROLA F, et al. Myocardial ischemia, stunning, inflammation, and apoptosis during cardiac surgery: a review of evidence[J] . European Journal of Cardio-Thoracic Surgery, 2004, 25(3): 304 − 311. doi: 10.1016/j.ejcts.2003.12.003
    [22] BALK R A. Systemic inflammatory response syndrome (SIRS): where did it come from and is it still relevant today?[J] . Virulence, 2014, 5(1): 20 − 26. doi: 10.4161/viru.27135
    [23] YANG Z H, WU X N, HE P, et al. A non-canonical PDK1-RSK signal diminishes pro-caspase-8-mediated necroptosis blockade[J] . Molecular Cell, 2020, 80(2): 296 − 310.
    [24] WU Z M, GENG Y, LU X J, et al. Chaperone-mediated autophagy is involved in the execution of ferroptosis[J] . Proceedings of the National Academy of Sciences of the United States of America, 2019, 116(8): 2996 − 3005.
    [25] WANG Y Y, MA H, HUANG J X, et al. Discovery of bardoxolone derivatives as novel orally active necroptosis inhibitors[J] . European Journal of Medicinal Chemistry, 2021, 212: 113030. doi: 10.1016/j.ejmech.2020.113030
    [26] CHEN X, KANG R, KROEMER G, et al. Ferroptosis in infection, inflammation, and immunity[J] . Journal of Experimental Medicine, 2021, 218(6): e20210518. doi: 10.1084/jem.20210518
    [27] MAYR L, GRABHERR F, SCHWÄRZLER J, et al. Dietary lipids fuel GPX4-restricted enteritis resembling Crohn's disease[J] . Nature Communications, 2020, 11(1): 1175. doi: 10.1038/s41467-020-15029-x
    [28] XU M Y, TAO J, YANG Y D, et al. Ferroptosis involves in intestinal epithelial cell death in ulcerative colitis[J] . Cell Death & Disease, 2020, 11(2): 86.
    [29] ANSARI M Y, AHMAD N, HAQQI T M. Oxidative stress and inflammation in osteoarthritis pathogenesis: role of polyphenols[J] . Biomedicine & Pharmacotherapy, 2020, 129: 110452.
    [30] CAI D W, YIN S S, YANG J, et al. Histone deacetylase inhibition activates Nrf2 and protects against osteoarthritis[J] . Arthritis Research & Therapy, 2015, 17(1): 269.
    [31] DONG J, ZHANG K J, LI G C, et al. CDDO-Im ameliorates osteoarthritis and inhibits chondrocyte apoptosis in mice via enhancing Nrf2-dependent autophagy[J] . Acta Pharmacologica Sinica, 2022, 43(7): 1793 − 1802. doi: 10.1038/s41401-021-00782-6
    [32] KIM J E, KANG T C. CDDO-Me attenuates astroglial autophagy via Nrf2-, ERK1/2-SP1- and Src-CK2-PTEN-PI3K/AKT-mediated signaling pathways in the hippocampus of chronic epilepsy rats[J] . Antioxidants, 2021, 10(5): 655. doi: 10.3390/antiox10050655
    [33] PILOTTO F, CHELLAPANDI D M, PUCCIO H. Omaveloxolone: a groundbreaking milestone as the first FDA-approved drug for Friedreich ataxia[J] . Trends in Molecular Medicine, 2024, 30(2): 117 − 125. doi: 10.1016/j.molmed.2023.12.002
    [34] GHANEKAR S D, MILLER W W, MEYER C J, et al. Orphan drugs in development for the treatment of friedreich's ataxia: focus on omaveloxolone[J] . Degenerative Neurological and Neuromuscular Disease, 2019, 9: 103 − 107. doi: 10.2147/DNND.S180027
    [35] LEE A. Omaveloxolone: first approval[J] . Drugs, 2023, 83(8): 725 − 729. doi: 10.1007/s40265-023-01874-9
    [36] ZHANG F, WANG S P, ZHANG M J, et al. Pharmacological induction of heme oxygenase-1 by a triterpenoid protects neurons against ischemic injury[J] . Stroke, 2012, 43(5): 1390 − 1397. doi: 10.1161/STROKEAHA.111.647420
    [37] LU Y, SUN Y Z, LIU Z H, et al. Activation of NRF2 ameliorates oxidative stress and cystogenesis in autosomal dominant polycystic kidney disease[J] . Science Translational Medicine, 2020, 12(554): eaba3613. doi: 10.1126/scitranslmed.aba3613
    [38] LIBY K, HOCK T, YORE M M, et al. The synthetic triterpenoids, CDDO and CDDO-imidazolide, are potent inducers of heme oxygenase-1 and Nrf2/ARE signaling[J] . Cancer Research, 2005, 65(11): 4789 − 4798. doi: 10.1158/0008-5472.CAN-04-4539
    [39] SHELTON L M, PARK B K, COPPLE I M. Role of Nrf2 in protection against acute kidney injury[J] . Kidney International, 2013, 84(6): 1090 − 1095. doi: 10.1038/ki.2013.248
    [40] JIANG T, HUANG Z P, LIN Y F, et al. The protective role of Nrf2 in streptozotocin-induced diabetic nephropathy[J] . Diabetes, 2010, 59(4): 850 − 860. doi: 10.2337/db09-1342
    [41] LIU M C, REDDY N M, HIGBEE E M, et al. The Nrf2 triterpenoid activator, CDDO-imidazolide, protects kidneys from ischemia-reperfusion injury in mice[J] . Kidney International, 2014, 85(1): 134 − 141. doi: 10.1038/ki.2013.357
    [42] CHIN M P, BAKRIS G L, BLOCK G A, et al. Bardoxolone methyl improves kidney function in patients with chronic kidney disease stage 4 and type 2 diabetes: post-hoc analyses from bardoxolone methyl evaluation in patients with chronic kidney disease and type 2 diabetes study[J] . American Journal of Nephrology, 2018, 47(1): 40 − 47. doi: 10.1159/000486398
    [43] ROTHAN H A, ZHONG Y W, SANBORN M A, et al. Small molecule grp94 inhibitors block dengue and Zika virus replication[J] . Antiviral Research, 2019, 171: 104590. doi: 10.1016/j.antiviral.2019.104590
    [44] VÁZQUEZ N, GREENWELL-WILD T, MARINOS N J, et al. Human immunodeficiency virus type 1-induced macrophage gene expression includes the p21 gene, a target for viral regulation[J] . Journal of Virology, 2005, 79(7): 4479 − 4491. doi: 10.1128/JVI.79.7.4479-4491.2005
    [45] SUN Q, YE F, LIANG H, et al. Bardoxolone and bardoxolone methyl, two Nrf2 activators in clinical trials, inhibit SARS-CoV-2 replication and its 3C-like protease[J] . Signal Transduction and Targeted Therapy, 2021, 6(1): 212. doi: 10.1038/s41392-021-00628-x
  • 加载中
图(4)
计量
  • 文章访问数:  442
  • HTML全文浏览量:  333
  • PDF下载量:  34
  • 被引次数: 0
出版历程
  • 收稿日期:  2024-07-07
  • 网络出版日期:  2025-12-22
  • 刊出日期:  2025-09-30

目录

    /

    返回文章
    返回