留言板

尊敬的读者、作者、审稿人, 关于本刊的投稿、审稿、编辑和出版的任何问题, 您可以本页添加留言。我们将尽快给您答复。谢谢您的支持!

姓名
邮箱
手机号码
标题
留言内容
验证码

中厚板激光切割辅助气体流场分析

王新宇 叶筱

王新宇, 叶筱. 中厚板激光切割辅助气体流场分析[J]. 上海工程技术大学学报, 2025, 39(3): 300-306. doi: 10.12299/jsues.24-0129
引用本文: 王新宇, 叶筱. 中厚板激光切割辅助气体流场分析[J]. 上海工程技术大学学报, 2025, 39(3): 300-306. doi: 10.12299/jsues.24-0129
WANG Xinyu, YE Xiao. Analysis of auxiliary gas flow field for laser cutting of medium-thick plates[J]. Journal of Shanghai University of Engineering Science, 2025, 39(3): 300-306. doi: 10.12299/jsues.24-0129
Citation: WANG Xinyu, YE Xiao. Analysis of auxiliary gas flow field for laser cutting of medium-thick plates[J]. Journal of Shanghai University of Engineering Science, 2025, 39(3): 300-306. doi: 10.12299/jsues.24-0129

中厚板激光切割辅助气体流场分析

doi: 10.12299/jsues.24-0129
详细信息
    作者简介:

    王新宇(1998 − ),男,硕士生,研究方向为能源与动力工程。E-mail:m010120485@sues.edu.cn

    通讯作者:

    叶 筱(1990 − ),女,副教授,博士,研究方向为能源动力工程。E-mail:yexiao@sues.edu.cn

  • 中图分类号: TG485

Analysis of auxiliary gas flow field for laser cutting of medium-thick plates

  • 摘要: 基于切割区域的高斯热源方程、传热方程、雷诺平均N-S方程以及剪应力输运(shear stress transport, SST) k-ω湍流模型,建立中厚板激光切割辅助气体流场三维数学模型,并通过试验验证了仿真模型的正确性。基于所建立的模型对辅助气体流场进行研究,分析辅助气流压力、温度、速度、剪切应力的分布规律;研究喷嘴入口压力对辅助气体的流场动力性能的影响规律。结果表明,合理的喷嘴入口压力能提高辅助气体动力学特性与切割质量。
  • 图  1  高斯表面热源分布示意图

    Figure  1.  Schematic of heat source distribution on Gaussian surface

    图  2  纹影法示意图

    Figure  2.  Schematic diagram of schlieren method

    图  3  试验设备图

    Figure  3.  Experimental equipment

    图  4  压力场密度梯度波动的数值模拟与试验结果比较

    Figure  4.  Comparison of density gradient fluctuations in pressure fields between numerical simulations and experimental results

    图  5  工件上表面温度分布

    Figure  5.  Temperature distribution on upper surface of workpiece

    图  6  对称面压力与速度分布云图

    Figure  6.  Symmetry plane pressure and velocity distribution cloud

    图  7  切割前沿轴线的压力和速度分布图

    Figure  7.  Pressure and velocity profiles along cutting front axis

    图  8  切割前沿的切应力分布

    Figure  8.  Shear stress distribution at cutting front

    图  9  不同喷嘴入口压力下对称面的速度云图

    Figure  9.  Velocity clouds in symmetry plane at different nozzle inlet pressures

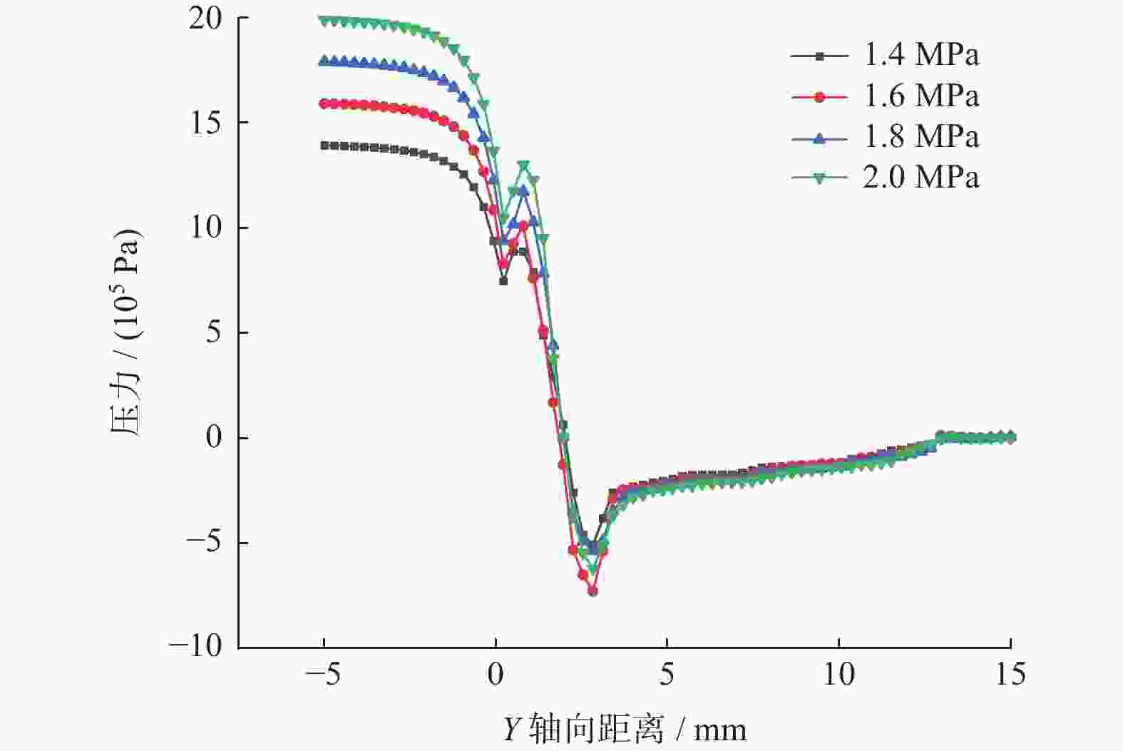
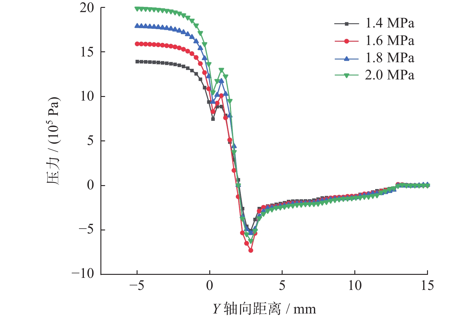
    图  10  不同喷嘴入口压力下切割前沿轴线上的压力分布图

    Figure  10.  Pressure distribution along cutting front axis at different nozzle inlet pressures

    图  11  不同喷嘴入口压力下切割前沿轴线的速度分布图

    Figure  11.  Velocity distribution along cutting front axis at different nozzle inlet pressures

    图  12  不同喷嘴入口压力下切割前沿上的切应力分布图

    Figure  12.  Shear stress distribution along cutting front at different nozzle inlet pressures

  • [1] 李永亮, 王敬, 梁强. 响应面分析法优化不锈钢激光切割工艺参数[J] . 材料科学与工艺, 2020, 28(4): 65 − 72. doi: 10.11951/j.issn.1005-0299.20180403
    [2] 王文娟. 光纤激光切割金属中厚板材的工艺参数与质量控制[J] . 应用激光, 2017, 37(4): 550 − 556.
    [3] 陈继明, 徐向阳, 肖荣诗. 激光现代制造技术[M] . 北京: 国防工业出版社, 2007: 1 − 6.
    [4] 袁伟, 李占国, 蔡云光. 基于ANSYS的激光切割温度场仿真[J] . 长春大学学报, 2013, 23(12): 1561 − 1564.
    [5] 花银群, 陈瑞芳, 张永康, 等. 激光切割表面质量比照判别与控制方法[J] . 金属热处理, 2001, 26(11): 25 − 27, 40. doi: 10.3969/j.issn.0254-6051.2001.11.011
    [6] 党东显, 盛晓军, 胡俊, 等. 喷嘴工件距对激光切缝中气体流场的影响[J] . 中国激光, 2010, 37(10): 2625 − 2631.
    [7] 谭向虎, 王威, 单际国, 等. 激光切割过程辅助气体动力学性能的数值模拟[J] . 焊接学报, 2012, 33(5): 25 − 28, 98.
    [8] 温鹏, 王威, 谭向虎, 等. 激光能量和辅助气体对切割能力影响的数值模拟[J] . 焊接学报, 2013, 34(4): 57 − 60, 116.
    [9] 孙凤, 宋园园, 赵庆龙, 等. 激光切割中离轴量影响气体动力学性能的研究[J] . 中国激光, 2020, 47(4): 0402003.
    [10] 张一, 李强, 佟玲, 等. 激光切割辅助气体参数对切割质量影响的仿真分析[J] . 机械工程与自动化, 2020(4): 44 − 46.
    [11] KOVALEV O B, YUDIN P V, ZAITSEV A V. Modeling of flow separation of assist gas as applied to laser cutting of thick sheet metal[J] . Applied Mathematical Modelling, 2009, 33(9): 3730 − 3745. doi: 10.1016/j.apm.2008.12.011
    [12] MAI C C, LIN J. Flow structures around an inclined substrate subjected to a supersonic impinging jet in laser cutting[J] . Optics & Laser Technology, 2002, 34(6): 479 − 486.
    [13] CHEN K, LAWRENCE Y Y, MODI V. Gas dynamic effects on laser cut quality[J] . Journal of Manufacturing Processes, 2001, 3(1): 38 − 49. doi: 10.1016/S1526-6125(01)70032-1
    [14] 罗佳勤, 朱刚贤, 李加强, 等. 激光熔覆熔池温度场及流场数值模拟研究进展[J] . 表面技术, 2023, 52(4): 67 − 84.
    [15] 谢凯. 单孔射流附壁流场特性的高速纹影研究[D] . 杭州: 浙江理工大学, 2014.
    [16] POWELL J, PETRING D, KUMAR R V, et al. Laser–oxygen cutting of mild steel: the thermodynamics of the oxidation reaction[J] . Journal of Physics D: Applied Physics, 2009, 42(1): 015504. doi: 10.1088/0022-3727/42/1/015504
  • 加载中
图(12)
计量
  • 文章访问数:  393
  • HTML全文浏览量:  201
  • PDF下载量:  28
  • 被引次数: 0
出版历程
  • 收稿日期:  2024-05-02
  • 网络出版日期:  2025-12-22
  • 刊出日期:  2025-09-30

目录

    /

    返回文章
    返回