留言板

尊敬的读者、作者、审稿人, 关于本刊的投稿、审稿、编辑和出版的任何问题, 您可以本页添加留言。我们将尽快给您答复。谢谢您的支持!

姓名
邮箱
手机号码
标题
留言内容
验证码

M0.3Co2.7O4固溶体纳米晶催化净化碳烟颗粒性能研究

张念陈 王晨 韩梦宇 孙红华 王金果

张念陈, 王晨, 韩梦宇, 孙红华, 王金果. M0.3Co2.7O4固溶体纳米晶催化净化碳烟颗粒性能研究[J]. 上海工程技术大学学报, 2025, 39(4): 420-427. doi: 10.12299/jsues.24-0128
引用本文: 张念陈, 王晨, 韩梦宇, 孙红华, 王金果. M0.3Co2.7O4固溶体纳米晶催化净化碳烟颗粒性能研究[J]. 上海工程技术大学学报, 2025, 39(4): 420-427. doi: 10.12299/jsues.24-0128
ZHANG Nianchen, WANG Chen, HAN Mengyu, SUN Honghua, WANG Jinguo. Performance study of catalytic soot combustion using M0.3Co2.7O4 solid solution nanocrystals[J]. Journal of Shanghai University of Engineering Science, 2025, 39(4): 420-427. doi: 10.12299/jsues.24-0128
Citation: ZHANG Nianchen, WANG Chen, HAN Mengyu, SUN Honghua, WANG Jinguo. Performance study of catalytic soot combustion using M0.3Co2.7O4 solid solution nanocrystals[J]. Journal of Shanghai University of Engineering Science, 2025, 39(4): 420-427. doi: 10.12299/jsues.24-0128

M0.3Co2.7O4固溶体纳米晶催化净化碳烟颗粒性能研究

doi: 10.12299/jsues.24-0128
基金项目: 国家自然科学基金面上项目(22076117);上海市曙光学者计划(21SG52)
详细信息
    作者简介:

    张念陈(1996 − ),女,硕士生,研究方向为催化剂设计与制备。E-mail:znc8llow@163.com

    通讯作者:

    王金果(1982 − ),男,教授,博士,研究方向为环境污染控制。E-mail:Jinguowang1982@sues.edu.cn

  • 中图分类号: O643.32

Performance study of catalytic soot combustion using M0.3Co2.7O4 solid solution nanocrystals

  • 摘要: 采用水热法制备了过渡金属离子M (M = Cu、Ni)掺杂的M0.3Co2.7O4固溶体纳米晶,系统研究了过渡金属离子M掺杂对Co3O4纳米晶催化净化碳烟颗粒的调控作用。研究表明,Cu0.3Co2.7O4固溶体纳米晶具有最佳碳烟催化净化性能,其Tm为421 ℃、CO2选择性为100%。主要原因在于:1) Cu离子掺杂抑制了Co3O4晶体生长,提高了材料比表面积,进而扩大了催化剂与碳烟颗粒的接触界面;2) Cu离子掺杂提高了催化剂表面Co3+的物质的量比,并使催化剂形成较多缺陷位点,有利于氧物种吸附活化;3) Cu离子掺杂提高了催化剂的氧化还原能力,不但增强了活性氧物种的生成能力,而且促进了NO氧化生成NO2,进而提高碳烟催化净化性能。Cu0.3Co2.7O4固溶体纳米晶同时表现出良好的催化净化碳烟稳定性,为构筑高效柴油机碳烟净化催化剂提供了理论依据。
  • 图  1  固溶体纳米晶的XRD图

    Figure  1.  XRD patterns of solid solution nanocrystals

    图  2  固溶体纳米晶的N2吸脱附等温线和孔径分布图

    Figure  2.  N2 sorption isotherms and pore size distributions of solid solution nanocrystals

    图  3  固溶体纳米晶场发射扫描电镜和透射电镜图

    Figure  3.  FESEM and TEM images of solid solution nanocrystals

    图  4  固溶体纳米晶的拉曼光谱图

    Figure  4.  Raman spectra of solid solution nanocrystals

    图  5  固溶体纳米晶的XPS图

    Figure  5.  XPS spectra of solid solution nanocrystals

    图  6  固溶体纳米晶的H2-TPR图

    Figure  6.  H2-TPR profiles of solid solution nanocrystals

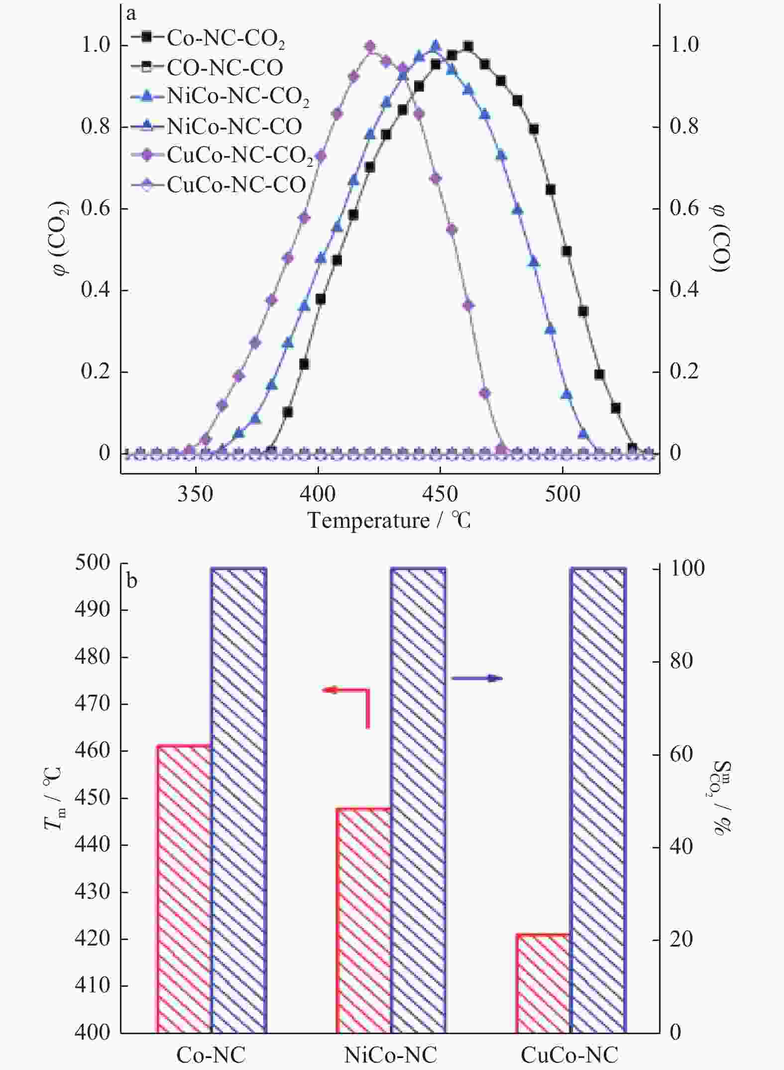
    图  7  基于同质量纳米晶催化净化碳烟曲线和柱状图

    Figure  7.  Activity curve and histogram of soot combustion over solid solution nanocrystals with the same mass

    图  8  基于同表面积纳米晶催化净化碳烟曲线和柱状图

    Figure  8.  Activity curve and histogram of soot combustion over solid solution nanocrystals with the same surface area

    图  9  纳米晶CuCo-NC循环稳定性测试曲线和柱状图

    Figure  9.  Recycling stability curve and histogram of CuCo-NC for soot combustion

    表  1  固溶体纳米晶的物理化学结构参数

    Table  1.   Physicochemical parameters of solid solution nanocrystals

    催化剂 SBET
    /(m2·g−1)
    VP
    /(cm3·g−1)
    DP/
    nm
    Crystallite
    size/nm
    H2消耗量
    /(mmol·g−1)
    Co-NC 4.28 0.0138 15.3 28 3.52
    NiCo-NC 5.27 0.0046 15.9 26 6.89
    CuCo-NC 7.75 0.0031 16.1 24 12.32
    下载: 导出CSV

    表  2  固溶体纳米晶的元素组成及价态参数

    Table  2.   Elemental compositions and chemical valence states of solid solution nanocrystals

    催化剂 Co 2p envelope O 1s envelope
    Co3+/% Co2+/% Co3+/Co2+ Oads/% Olatt/% Oads/Olatt
    Co-NC 39 61 0.64 45 55 0.82
    NiCo-NC 44 56 0.79 52 48 1.08
    CuCo-NC 53 47 1.13 59 41 1.44
    下载: 导出CSV

    表  3  以往报道催化剂催化碳烟颗粒燃烧活性数据

    Table  3.   Activity data of previous catalysts reported in literature

    催化剂 NO
    /(μmol·mol−1)
    O2
    /%
    Tm
    /℃
    SCO2m
    /%
    数据来源
    CuCo-NC 500 5.0 424 100 本研究
    CuCe7.2 500 5.0 494 100 文献[10]
    HBeta 500 10 545 97 文献
    BaTiO3 500 10 523 60 文献[12]
    Ni foam 600 5.0 527 100 文献[22]
    下载: 导出CSV
  • [1] 贺泓, 翁端, 资新运. 柴油车尾气排放污染控制技术综述[J] . 环境科学, 2007, 28(6): 1169 − 1177.
    [2] 李炳章, 张文军, 张园园, 等. 柴油车尾气净化技术研究进展[J] . 山东化工, 2019, 48(9): 105 − 106.
    [3] 王领辉, 李孟良, 徐达. 柴油机排放控制技术分析[J] . 城市车辆, 2008(4): 44 − 45.
    [4] 陈卫红, 曹丽敏, 刘跃伟, 等. 空气细颗粒物与呼吸系统的健康损害[J] . 公共卫生与预防医学, 2016, 27(3): 1 − 4.
    [5] WANG J G, YANG G Y, CHENG L, et al. Three-dimensionally ordered macroporous spinel-type MCr2O4 (M = Co, Ni, Zn, Mn) catalysts with highly enhanced catalytic performance for soot combustion[J] . Catalysis Science & Technology, 2015, 5(9): 4594 − 4601.
    [6] WANG J G, CHENG L, AN W, et al. Boosting soot combustion efficiencies over CuO-CeO2 catalysts with a 3DOM structure[J] . Catalysis Science & Technology, 2016, 6(19): 7342 − 7350.
    [7] ZHAI G J, WANG J G, CHEN Z M, et al. Boosting soot combustion efficiency of Co3O4 nanocrystals via tailoring crystal facets[J] . Chemical Engineering Journal, 2018, 337: 488 − 498. doi: 10.1016/j.cej.2017.12.141
    [8] ZHAI G J, WANG J G, CHEN Z M, et al. Highly enhanced soot oxidation activity over 3DOM Co3O4-CeO2 catalysts by synergistic promoting effect[J] . Journal of Hazardous Materials, 2019, 363: 214 − 226. doi: 10.1016/j.jhazmat.2018.08.065
    [9] WANG J G, YANG S F, SUN H H, et al. Highly improved soot combustion performance over synergetic MnxCe1-xO2 solid solutions within mesoporous nanosheets[J] . Journal of Colloid and Interface Science, 2020, 577: 355 − 367. doi: 10.1016/j.jcis.2020.05.090
    [10] YANG S F, WANG J G, CHAI W, et al. Enhanced soot oxidation activity over CuO/CeO2 mesoporous nanosheets[J] . Catalysis Science & Technology, 2019, 9(7): 1699 − 1709.
    [11] REN W, DING T, YANG Y X, et al. Identifying oxygen activation/oxidation sites for efficient soot combustion over silver catalysts interacted with nanoflower-like hydrotalcite-derived CoAlO metal oxides[J] . ACS Catalysis, 2019, 9(9): 8772 − 8784. doi: 10.1021/acscatal.9b01897
    [12] ZHOU X X, CHEN H R, ZHANG G B, et al. Cu/Mn co-loaded hierarchically porous zeolite beta: a highly efficient synergetic catalyst for soot oxidation[J] . Journal of Materials Chemistry A, 2015, 3(18): 9745 − 9753. doi: 10.1039/C5TA00094G
    [13] XIONG J, WU Q Q, MEI X L, et al. Fabrication of spinel-type PdxCo3-xO4 binary active sites on 3D ordered meso-macroporous Ce-Zr-O2 with enhanced activity for catalytic soot oxidation[J] . ACS Catalysis, 2018, 8(9): 7915 − 7930. doi: 10.1021/acscatal.8b01924
    [14] CHENG Y, LIU J, ZHAO Z, et al. Highly efficient and simultaneously catalytic removal of PM and NOx from diesel engines with 3DOM Ce0.8M0.1Zr0.1O2 (M = Mn, Co, Ni) catalysts[J] . Chemical Engineering Science, 2017, 167: 219 − 228. doi: 10.1016/j.ces.2017.04.023
    [15] WU Q Q, XIONG J, ZHANG Y L, et al. Interaction-induced self-assembly of Au@La2O3 core-shell nanoparticles on La2O2CO3 nanorods with enhanced catalytic activity and stability for soot oxidation[J] . ACS Catalysis, 2019, 9(4): 3700 − 3715. doi: 10.1021/acscatal.9b00107
    [16] CHENG L, MEN Y, WANG J G, et al. Crystal facet-dependent reactivity of α-Mn2O3 microcrystalline catalyst for soot combustion[J] . Applied Catalysis B: Environmental, 2017, 204: 374 − 384. doi: 10.1016/j.apcatb.2016.11.041
    [17] ANEGGI E, WIATER D, DE LEITENBURG C, et al. Shape-dependent activity of ceria in soot combustion[J] . ACS Catalysis, 2014, 4(1): 172 − 181. doi: 10.1021/cs400850r
    [18] JI F, MEN Y, WANG J G, et al. Promoting diesel soot combustion efficiency by tailoring the shapes and crystal facets of nanoscale Mn3O4[J] . Applied Catalysis B: Environmental, 2019, 242: 227 − 237. doi: 10.1016/j.apcatb.2018.09.092
    [19] DAIRA R, KABIR A, BOUDJEMA B, et al. Structural and optical transmittance analysis of CuO thin films deposited by the spray pyrolysis method[J] . Solid State Sciences, 2020, 104: 106254. doi: 10.1016/j.solidstatesciences.2020.106254
    [20] NAKATE U T, AHMAD R, PATIL P, et al. Ultra thin NiO nanosheets for high performance hydrogen gas sensor device[J] . Applied Surface Science, 2020, 506: 144971. doi: 10.1016/j.apsusc.2019.144971
    [21] SUN B, WANG J G, CHEN M, et al. Boosting acetone oxidation performance over mesocrystal MxCe1-xO2 (M = Ni, Cu, Zn) solid solution within hollow spheres by tailoring transition-metal cations[J] . Materials Chemistry and Physics, 2023, 293: 126925. doi: 10.1016/j.matchemphys.2022.126925
    [22] FAN G L, ZHAO L, GONG C R, et al. Effect of supports on soot oxidation of copper catalysts: BaTiO3 versus Fe2O3@BaTiO3 core/shell microsphere[J] . Nano, 2016, 11(1): 1650010. doi: 10.1142/S1793292016500107
    [23] CAO C M, XING L L, YANG Y X, et al. Diesel soot elimination over potassium-promoted Co3O4 nanowires monolithic catalysts under gravitation contact mode[J] . Applied Catalysis B: Environmental, 2017, 218: 32 − 45. doi: 10.1016/j.apcatb.2017.06.035
  • 加载中
图(9) / 表(3)
计量
  • 文章访问数:  244
  • HTML全文浏览量:  170
  • PDF下载量:  73
  • 被引次数: 0
出版历程
  • 收稿日期:  2024-05-02
  • 网络出版日期:  2026-02-02
  • 刊出日期:  2025-12-01

目录

    /

    返回文章
    返回