留言板

尊敬的读者、作者、审稿人, 关于本刊的投稿、审稿、编辑和出版的任何问题, 您可以本页添加留言。我们将尽快给您答复。谢谢您的支持!

姓名
邮箱
手机号码
标题
留言内容
验证码

不同压力下远红外篮球护臂对肌肉疲劳的影响

李珍珍 李艳梅

李珍珍, 李艳梅. 不同压力下远红外篮球护臂对肌肉疲劳的影响[J]. 上海工程技术大学学报, 2025, 39(2): 251-256. doi: 10.12299/jsues.24-0073
引用本文: 李珍珍, 李艳梅. 不同压力下远红外篮球护臂对肌肉疲劳的影响[J]. 上海工程技术大学学报, 2025, 39(2): 251-256. doi: 10.12299/jsues.24-0073
LI Zhenzhen, LI Yanmei. Effect of far-infrared basketball arm guard on muscle fatigue under different pressures[J]. Journal of Shanghai University of Engineering Science, 2025, 39(2): 251-256. doi: 10.12299/jsues.24-0073
Citation: LI Zhenzhen, LI Yanmei. Effect of far-infrared basketball arm guard on muscle fatigue under different pressures[J]. Journal of Shanghai University of Engineering Science, 2025, 39(2): 251-256. doi: 10.12299/jsues.24-0073

不同压力下远红外篮球护臂对肌肉疲劳的影响

doi: 10.12299/jsues.24-0073
详细信息
    作者简介:

    李珍珍(1999 − ),女,硕士生,研究方向为功能性服装。E-mail:2489548657@qq.com

    通讯作者:

    李艳梅(1974 − ),女,教授,博士,研究方向为服装材料、纺织品设计和性能研究。E-mail:lym0350@126.com

  • 中图分类号: TS941.17

Effect of far-infrared basketball arm guard on muscle fatigue under different pressures

  • 摘要: 当前运动护臂研究大多聚焦压力这一单因素对缓解肌肉疲劳的作用,较少与远红外技术结合探讨。本研究采用石墨烯锦纶复合纤维与锦纶纱线编织成运动护臂,制备出远红外纤维含量(质量分数,全文同)分别为0%、25%、50%、75%的样品,并在3种压力水平下测试其缓解手臂肌肉疲劳的效果。通过肌电信号均方根(RMS)、中值频率(MF)及主观疲劳评分来评估肌肉疲劳程度,结果表明,含远红外纤维的护臂能有效降低运动后肌肉疲劳,且降低效果随远红外纤维含量的增加而提升,75%纤维含量的护臂效果最佳。在远红外纤维含量相同的情况下,中等与高压力护臂能更有效地缓解肌肉疲劳,尤其在肱桡肌和桡侧腕屈肌部位效果更显著,这可能与这些肌肉在运动中的发力顺序及参与度有关。
  • 图  1  远红外护臂款式图

    Figure  1.  Far-infrared arm sleeve design diagram

    图  2  试验运球动作规范

    Figure  2.  Standard dribbling movement test procedure

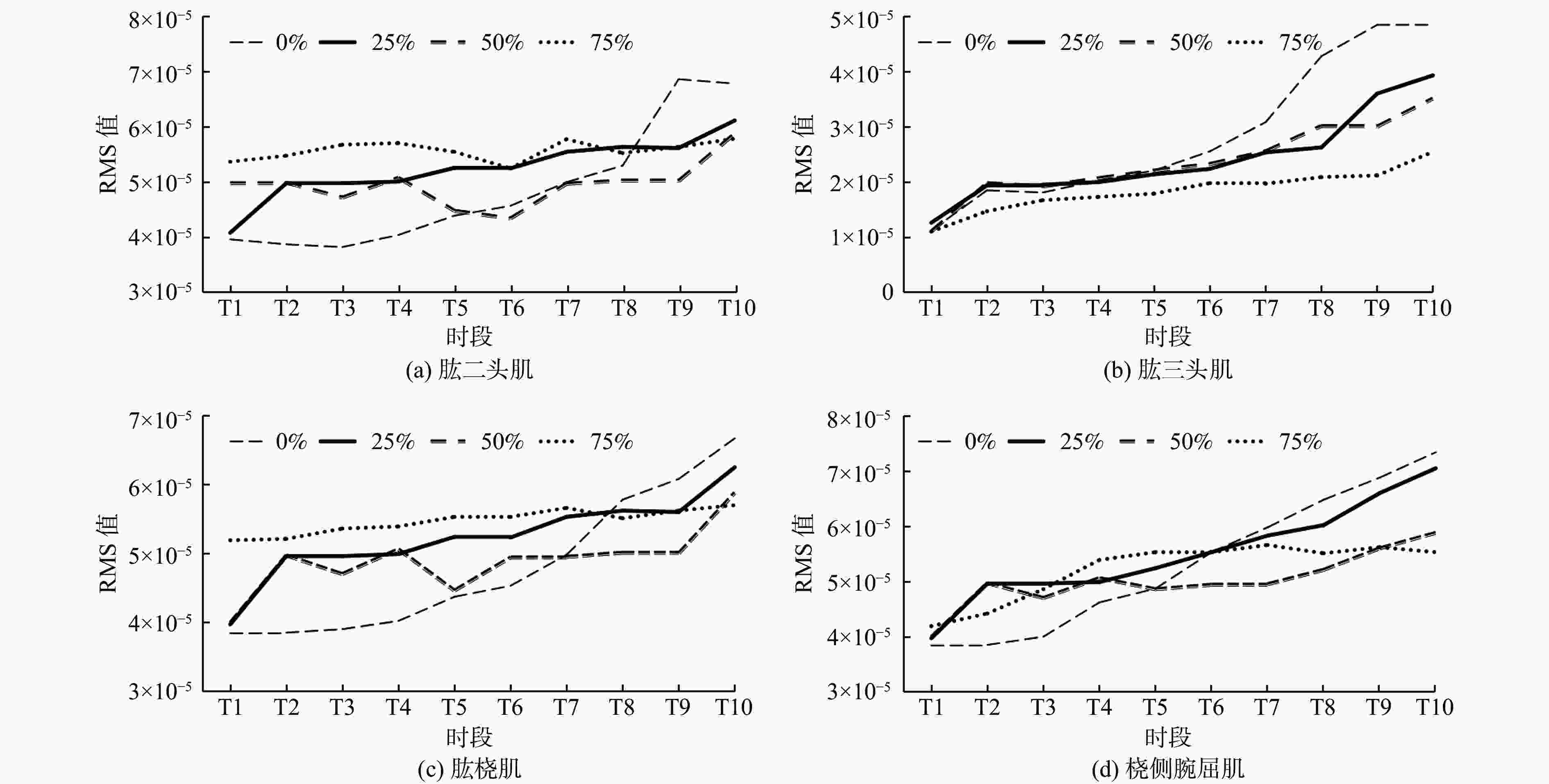
    图  3  各肌肉区域RMS值随时间变化情况

    Figure  3.  Changes in RMS values of different muscle areas over time

    图  4  各肌肉区域MF值随时间变化情况

    Figure  4.  Changes in MF values of different muscle areas over time

    图  5  四部位压力图

    Figure  5.  Pressure map of four body parts

    图  6  M5时段不同压力下各部位MF斜率绝对值

    Figure  6.  Absolute values of MF slopes at different sites under various pressures during M5 phase

    表  1  试验护臂规格

    Table  1.   Specifications of test arm sleeves

    样品编号 石墨烯锦纶复合纤维含量/% 纱线原料
    1# 0 70D普通锦纶,70D/68F
    石墨烯锦纶复合纤维,
    120#乳胶丝
    2# 25
    3# 50
    4# 75
    下载: 导出CSV

    表  2  试验护臂尺寸

    Table  2.   Test arm sleeve sizes

    尺码 1/2上臂围/cm 1/2下臂围/cm 长度/cm
    L 10.5 10.0 35
    M 10.0 9.5 35
    S 9.5 9.0 35
    下载: 导出CSV

    表  3  受试者手臂数据范围

    Table  3.   Range of participants' arm data

    年龄/岁 身高/cm 体质量/kg 臂长/cm 上臂围/cm 下臂围/cm
    23 ± 2 178.0 ± 3.0 70 ± 5.0 35.0 ± 2.0 28.0 ± 2.0 25.0 ± 2.0
    下载: 导出CSV

    表  4  运动护臂远红外性能测试

    Table  4.   FIR properties testing of sports arm sleeve

    样品编号 远红外发射率/% 远红外辐射升温/℃ 是否符合标准
    1# 72.1 2.40 不符合
    2# 89.0 3.00 符合
    3# 92.5 3.45 符合
    4# 95.8 3.57 符合
    下载: 导出CSV

    表  5  不同着装压力对MF斜率的影响

    Table  5.   Effect of different garment pressures on MF slope

    样衣编号 M1 M2 M3 M4 M5
    1L 0.637 0.446 0.215 0.104 0.035
    1M 0.548 0.312 0.113 0.102 0.047*
    1S 0.337 0.206 0.134 0.031* 0.329*
    2L 0.533 0.318 0.176 0.048 0.031*
    2M 0.429 0.131 0.050 0.312* 0.216*
    2S 0.411 0.142 0.121* 0.222* 0.017*
    3L 0.533 0.642 0.421 0.124* 0.248*
    3M 0.415 0.348 0.227 0.102* 0.489*
    3S 0.376 0.217 0.532* 0.135* 0.311*
    4L 0.512 0.386 0.413 0.543* 0.212*
    4M 0.367 0.231 0.434* 0.322* 0.012*
    4S 0.385 0.413* 0.296* 0.131* 0.021*
    注:*为P<0.05。
    下载: 导出CSV

    表  6  不同压力下各部位MF斜率与主观疲劳指标的相关性

    Table  6.   Correlation between MF slope at different sites under various pressures and subjective fatigue indicators

    样衣编号 肱二头肌 肱三头肌 肱桡肌 桡侧腕屈肌
    L 0.289 0.329 0.386* 0.433
    M 0.334 0.298 0.432** 0.406*
    S 0.408* 0.154* 0.375** 0.368**
    注:*为P<0.05;**为P<0.01。
    下载: 导出CSV
  • [1] 张璐, 刘茜, 吴湘济. 理疗保健功能纺织品的研究与开发现状[J] . 产业用纺织品, 2020, 38(8): 1 − 6. doi: 10.3969/j.issn.1004-7093.2020.08.001
    [2] 胡兴文, 宋现芬, 许日鹏, 等. 石墨烯改性纤维医用压力袜的制备及性能研究[J] . 针织工业, 2018(5): 5 − 7. doi: 10.3969/j.issn.1000-4033.2018.05.002
    [3] LOTURCO I, ABAD C C C, NAKAMURA F Y, et al. Effects of far infrared rays emitting clothing on recovery after an intense plyometric exercise bout applied to elite soccer players: a randomized double-blind placebo-controlled trial[J] . Biology of Sport, 2016, 33(3): 277 − 283. doi: 10.5604/20831862.1208479
    [4] 李萱, 阎玉秀, 金子敏, 等. 远红外面料骑行裤对运动疲劳的影响[J] . 丝绸, 2020, 57(3): 51 − 56. doi: 10.3969/j.issn.1001-7003.2020.03.009
    [5] 陈琛, 韩燚, 孙海燕, 等. 石墨烯复合纤维的制备方法与应用分析[J] . 新型工业化, 2021, 11(4): 14 − 17.
    [6] 成强. 纺织品不同测试面对远红外性能结果的影响[J] . 山东纺织科技, 2022, 63(1): 27 − 29. doi: 10.3969/j.issn.1009-3028.2022.01.009
    [7] 王广立, 方丽英. 基于表面肌电技术的篮球护臂压力舒适性分析[J] . 服装学报, 2022, 7(3): 227 − 234. doi: 10.3969/j.issn.1671-7147.2022.03.007
    [8] 漆东岳, 王向钦, 袁彬兰, 等. 纺织品远红外性能测试方法研究[J] . 中国纤检, 2016(6): 90 − 93. doi: 10.3969/j.issn.1671-4466.2016.06.026
    [9] LUNG C W, LIAU B Y, PETERS J A, et al. Effects of various walking intensities on leg muscle fatigue and plantar pressure distributions[J] . BMC Musculoskeletal Disorders, 2021, 22(1): 831. doi: 10.1186/s12891-021-04705-8
    [10] 王建萍, 苗明珠, 姚晓凤, 等. 滑雪压缩裤局部压力对男子下肢疲劳的影响[J] . 针织工业, 2023(2): 50 − 53. doi: 10.3969/j.issn.1000-4033.2023.02.012
  • 加载中
图(6) / 表(6)
计量
  • 文章访问数:  302
  • HTML全文浏览量:  233
  • PDF下载量:  13
  • 被引次数: 0
出版历程
  • 收稿日期:  2024-03-18
  • 网络出版日期:  2025-09-30
  • 刊出日期:  2025-06-30

目录

    /

    返回文章
    返回